Skip to content
Жаңалықтар Жоңғар-Алатауы, Алтын Емел ұлттық табиғи парктерінің қорық режимі жағдайында антропогендік бұзылған буферлік аймақтағы топырақ пен су беттерінің ластануын салыстырмалы талдау және мониторингілеу (2014 ж.)

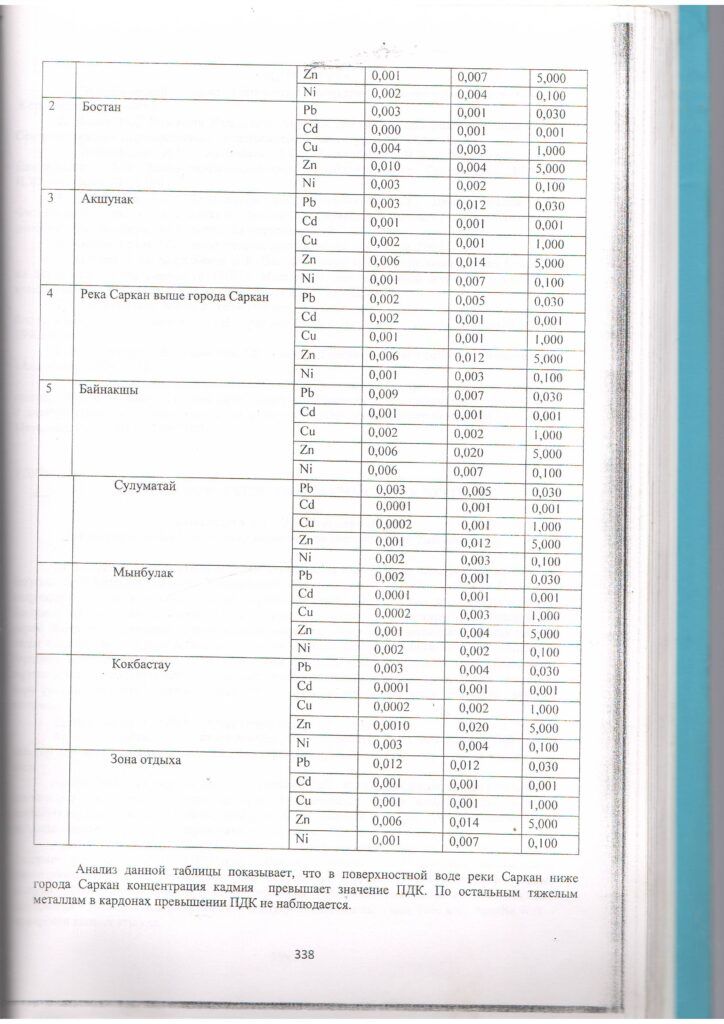
Жоңғар-Алатауы, Алтын Емел ұлттық табиғи парктерінің қорық режимі жағдайында антропогендік бұзылған буферлік аймақтағы топырақ пен су беттерінің ластануын салыстырмалы талдау және мониторингілеу (2014 ж.)

Добавить комментарий

Ваш адрес email не будет опубликован. Обязательные поля помечены *